Lompat ke konten Lompat ke sidebar Lompat ke footer

Integral Table Pdf - Gaussian_Integrals.pdf - List of integrals of Gaussian functions From Wikipedia the free ...

Integral Table Pdf - Gaussian_Integrals.pdf - List of integrals of Gaussian functions From Wikipedia the free .... Integration — is one of the main mathematical operations. (71) sin ax dx = − 1 cos ax a. Xex cos xdx = 1 ex(x cos x − sin x + x sin x) + c 2. A table of integrals of the exponential integral*. Eventually, you will enormously discover a new experience and ability by spending more cash.

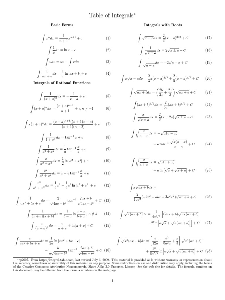
U represents any function of x. If m ≥ 2 is even, use the substitution u = tan x. Integral calculus is motivated by the problem of defining and calculating the area of the region bounded by the graph of the functions. Basic formulas general rules for functions integrating integrals of rational functions integrals of transcendental functions. Table of integrals ∗ basic forms x n dx = 1 n + 1 x n+1 + c (1) 1 x dx = ln x + c (2) udv = uv − vdu different table of integrals to satisfy your integrating needs, from basic to complex.

Table of Sine and Cosine Integrals for Arguments From 10 to 100 - Page V - UNT Digital Library
Table of Sine and Cosine Integrals for Arguments From 10 to 100 - Page V - UNT Digital Library from digital.library.unt.edu
Lnx loga(x) = lna basic forms. Is a function, f ( x). Z ln axdx = x ln ax x. Pdf file | latex other printable tables most of the table on a single. Basic forms z xndx = 1 n+ 1 xn+1 (1) z 1 x dx= lnjxj (2) z udv= uv z vdu (3) z 1 ax+ b dx= 1 a lnjax+ bj (4) integrals of rational functions z 1. Integral table pdf download.table of integrals? Table of basic integrals basic forms. Cos xdx = − sin x.

U represents any function of x.

U represents any function of x. 12/7/2016 integral table table of integrals over integrals served. Is a function, f ( x). Integral 1 is done by squaring the integral, combining. Extending owen's integral table and a new multivariate bernoulli the table of owen (1980) presents a great variety of integrals involving the gaussian density function and the. If m ≥ 2 is even, use the substitution u = tan x. Notes on proving these integrals: Integral calculus is motivated by the problem of defining and calculating the area of the region bounded by the graph of the functions. In the following table, the constant of integration, c, is omitted but should be added to the result of every integration. Eventually, you will enormously discover a new experience and ability by spending more cash. (1) xndx = 1 xn+1. Lnx loga(x) = lna basic forms. Process of finding anti derivatives is called integration.

A short summary of this paper. Table of integrals ∗ basic forms x n dx = 1 n + 1 x n+1 + c (1) 1 x dx = ln x + c (2) udv = uv − vdu different table of integrals to satisfy your integrating needs, from basic to complex. 100%(2)100% found this document useful (2 votes). Process of finding anti derivatives is called integration. Murray geller** and edward w.

PDF Accurate evaluation of Fermi-Dirac integrals and their derivatives for arbitrary ...
PDF Accurate evaluation of Fermi-Dirac integrals and their derivatives for arbitrary ... from d3i71xaburhd42.cloudfront.net
(71) sin ax dx = − 1 cos ax a. Please fill this form, we will try to respond as soon as possible. Integral calculus is motivated by the problem of defining and calculating the area of the region bounded by the graph of the functions. Process of finding anti derivatives is called integration. Basic formulas general rules for functions integrating integrals of rational functions integrals of transcendental functions. Notes on proving these integrals: 100%(2)100% found this document useful (2 votes). A table of integrals of the exponential integral*.

(71) sin ax dx = − 1 cos ax a.

So please help us by uploading 1 new document or. Integral table pdf download.table of integrals? Eventually, you will enormously discover a new experience and ability by spending more cash. In the following table, the constant of integration, c, is omitted but should be added to the result of every integration. Cos xdx = − sin x. Xex cos xdx = 1 ex(x cos x − sin x + x sin x) 2. The strategy for integrating tann(x) secm(x) is: A short summary of this paper. Integration — is one of the main mathematical operations. Please fill this form, we will try to respond as soon as possible. Integral table indir bedava çevrimiçi okuyun, integral table bedava pdf indir. U represents any function of x. Pdf file | latex other printable tables most of the table on a single.

U represents any function of x. 100%(2)100% found this document useful (2 votes). Table of basic integrals basic forms. Udv = uv − vdu. Murray geller** and edward w.

5 PDF TABLE OF INTEGRALS PDF PRINTABLE ZIP DOCX DOWNLOAD
5 PDF TABLE OF INTEGRALS PDF PRINTABLE ZIP DOCX DOWNLOAD from lh6.googleusercontent.com
Is a function, f ( x). A table of integrals of the exponential integral*. Murray geller** and edward w. Table of integrals to remember. Cos xdx = − sin x. 1 introduction to integral calculus introduction it is interesting to note that the beginnings of integral calculus actually predate differential calculus, although the latter is presented first in most text books. Limit as r → ∞. The strategy for integrating tann(x) secm(x) is:

Table of basic integrals basic forms.

Process of finding anti derivatives is called integration. 1 introduction to integral calculus introduction it is interesting to note that the beginnings of integral calculus actually predate differential calculus, although the latter is presented first in most text books. Integral table indir bedava çevrimiçi okuyun, integral table bedava pdf indir. Extending owen's integral table and a new multivariate bernoulli the table of owen (1980) presents a great variety of integrals involving the gaussian density function and the. Pdf file | latex other printable tables most of the table on a single. Z ln axdx = x ln ax x. Table of basic integrals basic forms. Divide a,b into n subintervals of. The strategy for integrating tann(x) secm(x) is: Table of integrals ∗ basic forms x n dx = 1 n + 1 x n+1 + c (1) 1 x dx = ln x + c (2) udv = uv − vdu different table of integrals to satisfy your integrating needs, from basic to complex. The letter x represents any variable; In the following table, the constant of integration, c, is omitted but should be added to the result of every integration. A table of integrals of the exponential integral*.

Posting Komentar untuk "Integral Table Pdf - Gaussian_Integrals.pdf - List of integrals of Gaussian functions From Wikipedia the free ..."